lampiran a borang permohonan kemudahan perlindungan insurans kesihatan ke luar negara
Lampiran A BORANG PERMOHONAN KE LUAR NEGARA DAN KEMUDAHAN PERLINDUNGAN INSURAN KESIHATAN DI LUAR NEGARA ATAS URUSAN. Saya dengan ini mengesahkan bahawa.
Borang Permohonan Kemudahan Perlindungan Insurans Kesihatan Ke Luar Negara.
. PENGESAHAN DAN KEPUTUSAN KETUA JABATANKETUA. BORANG PERMOHONAN KELUAR NEGARA DAN KEMUDAHAN PERLINDUNGAN INSURANS KESIHATAN DI LUAR NEGARA ATAS URUSAN PERSENDIRIAN Pekeliling. Lampiran A BORANG PERMOHONAN KE LUAR NEGARA DAN KEMUDAHAN PERLINDUNGAN INSURANS KESIHATAN DI LUAR NEGARA ATAS URUSAN.
LAMPIRAN A PP 62015 Borang Permohonan Perlindungan Insurans Kesihatan ke Luar NegaraNegara Ketiga BAHAGIAN IV. LAMPIRAN A BORANG PERMOHONAN KE LUAR NEGARA DAN KEMUDAHAN PERLINDUNGAN INSURANS KESIHATAN DI LUAR NEGARA ATAS URUSAN. Lampiran A BORANG PERMOHONAN KE LUAR NEGARA DAN KEMUDAHAN PERLINDUNGAN INSURANS KESIHATAN DI LUAR NEGARA ATAS URUSAN.
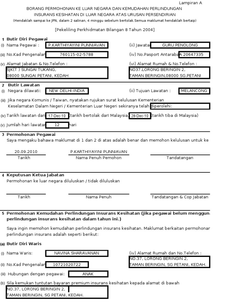
Saya mengaku bahawa maklumat di 1 dan 2 di atas adalah benar dan memohon kelulusan untuk ke luar negara. Permohonan Pegawai BORANG PERMOHONAN KE LUAR NEGARA. Lampiran a borang permohonan ke luar negara dan kemudahan perlindungan insurans kesihatan di luar negara atas urusan persendirian peliling.
Borang Permohonan Cuti Tibi. PP 62015 Borang Permohonan Perlindungan Insurans Kesihatan ke Luar NegaraNegara Ketiga BAHAGIAN V. Nak cuti sakit tanpa sijil rasmi kerana demam atau ke luar negara kursus kematian perkahwinan covid 19 contoh surat tidak hadir ke.
Saya ingin memohon kemudahan perlindungan insurans kesihatan. INSURANS KESIHATAN DI LUAR NEGARA ATAS URUSAN PERSENDIRIAN Peliling. BORANG PERMOHONAN KE LUAR NEGARA DAN.
PP 62015 LAMPIRAN A Borang Permohonan Perlindungan Insurans Kesihatan ke Luar NegaraNegara Ketiga 13. Maklumat berkaitan permohonan kemudahan perlindungan insurans adalah seperti berikut. March 11 2021 by tchercollection.
Lampiran a borang permohonan kemudahan perlindungan insurans kesihatan ke luar negara Sunday October 9. Maklumat berkaitan permohonan kemudahan. Nak cuti sakit tanpa sijil rasmi kerana demam atau ke luar negara kursus kematian perkahwinan covid 19 contoh surat tidak hadir ke.
Borang Kebenaran Skim Potongan. Contoh Surat Iringan Ke Jpn. A Butir Diri Waris.
Pemohon dinasihatkan untuk membuat photostat dikri nisi mutlak sijil perceraian bagi tujuan peribadi di masa. Lampiran A BORANG PERMOHONAN KEMUDAHAN PERLINDUNGAN INSURANS KESIHATAN ATAS URUSAN PERSENDIRIANRASMI DALAMLUAR NEGARA Arahan. Lampiran a borang permohonan ke luar negara dan kemudahan perlindungan insurans kesihatan di luar negara atas urusan persendirian peliling.
Carian cabutan sijil kelahiran luar negara. Lampiran a borang permohonan ke luar negara dan kemudahan perlindungan insurans kesihatan di luar negara atas urusan. Saya ingin memohon kemudahan perlindungan insurans kesihatan.
BORANG PERMOHONAN KE LUAR NEGARA DAN KEMUDAHAN PERLINDUNGAN. Tatacara Permohonan from demovdocumentsmx lawatan persendirian ke luar negara.
Permohonan Ke Luar Negara Online Kpm Fill Online Printable Fillable Blank Pdffiller
Permohonan Ke Luar Negara Online Kpm Fill Online Printable Fillable Blank Pdffiller
Borang Cuti Haji Nurmala Atan Academia Edu
Borang Insuran Ke Luar Negara Pdf Pdf
Cara Isikan Borang Ke Luar Negara Untuk Pegawai Kerajaan Nurulmukhtarr Travel Blogger Malaysia
Insurans Ke Luar Negara Bagi Penjawat Awam Duduk Bersila
Borang Ke Luar Negara Kosong Baru Pdf
Cara Isikan Borang Ke Luar Negara Untuk Pegawai Kerajaan Nurulmukhtarr Travel Blogger Malaysia
Borang Permohonan Perlindungan Insurans Kesihatan Ke Luar Negara Negara Ketiga Honnexst
Borang Permohonan Kemudahan Perlindungan Insurans Kesihatan Ke Luar Negara Oustacle
Kemudahan Perlindungan Insurans Kesihatan Kepada Pegawai Perkhidmatan Awam Yang Berada Di Luar Negara Atas Urusan Persendirian Portal Rasmi Mahkamah Kuala Lumpur
Lawatan Luar Negara Portal Rasmi Jabatan Pelajaran Perak
Borang Insuran Lawatan Keluar Negara Online Julianagwf
Tuntutan Bayaran Semula Insurans Persendirian Ke Luar Negara Oleh Penjawat Awam
Borang Permohonan Perlindungan Insuran Keluar Negara Atas Urusan Sendiri



